Vòng lặp for - Khang
Kiểm tra số hoàn hảo
Nộp bàiPoint: 1
Xây dựng chương trình kiểm tra một số nguyên N > 0 có phải là số hoàn hảo. Nếu đúng thì in ra YES, còn không thì in ra NO
Số hoàn hảo là số mà tổng tất cả các ước của nó (không tính chính nó) sẽ bằng chính nó
Ràng buộc: ~0 \leq N \leq 10^6~
Input 01:
28
Output 01:
YES
28 có các ước là 1, 2, 4, 7, 14 và tổng các số này lại bằng chính 28 nên 28 là số hoàn hảo
Input 02:
30
Output 02:
NO
Tìm số nguyên tố thứ N
Nộp bàiPoint: 1
Cho số nguyên dương N, viết chương trình in ra số nguyên tố thứ N.
Ràng buộc : ~0 < N \leq 10^4~
Input 01:
2
Output 01:
3
Số nguyên tố thứ 2 là số 3
Input 02:
4
Output 02:
7
Các ước của N (vòng lặp for)
Nộp bàiPoint: 1
Viết chương trình nhập vào một số nguyên N rồi in ra tất cả các ước số của số đó.
Đầu vào: Số nguyên N
Ràng buộc: 1 <= N <= 10^3
Đầu ra: In ra các ước của N
Input:
10
Output:
1 2 5 10
In các số chẵn từ 2 đến 20 (vòng lặp for)
Nộp bàiPoint: 1
Viết một chương trình sử dụng vòng lặp for để in ra các số chẵn từ 2 đến 20.
Định dạng đầu ra: 2 4 6 ... 18 20
Tính N giai thừa
Nộp bàiPoint: 1
Tính N giai thừa với N là số nguyên nhập từ bàn phím (N <= 20)
Input:
5
Output:
120
Input:
3
Output:
6
Đếm số chia hết cho K trong đoạn [1..N]
Nộp bàiPoint: 1
Đếm số chia hết cho K trong đoạn [1..N] với N là số nguyên nhập từ bàn phím
Input: Dòng đầu tiên nhập N và K
Output: In ra số lượng số chia hết cho K
Input:
10 3
Output:
3
Input:
20 5
Output:
4
Dãy số bình phương từ 1 đến N
Nộp bàiPoint: 1
In ra dãy số bình phương từ 1 đến N với N là số nguyên nhập từ bàn phím
Input:
5
Output:
1 4 9 16 25
Input:
3
Output:
1 4 9
Tổng bình phương từ 1 đến N
Nộp bàiPoint: 1
Tính tổng bình phương từ 1 đến N với N là số nguyên nhập từ bàn phím
Input:
3
Output:
14
Giải thích: 1^2 + 2^2 + 3^2 = 14
Input:
5
Output:
55
Tính tổng các bội số của 3 ≤ N
Nộp bàiPoint: 1
Tính tổng các bội số của 3 ≤ N với N là số nguyên nhập từ bàn phím
Input:
10
Output:
18
Tổng các bội của 3 và nhỏ hơn 10 gồm 3 + 6 + 9 = 18
Input:
15
Output:
45
Tính tổng nghịch đảo từ 1 đến N
Nộp bàiPoint: 1
Tính tổng nghịch đảo từ 1 đến N, tức là 1 + 1/2 + 1/3 + … + 1/N với N là số nguyên nhập từ bàn phím
(Kết quả làm tròn 2 chữ số thập phân)
Input:
2
Output:
1.50
Input:
4
Output:
2.08
Kiểm tra N có phải số nguyên tố
Nộp bàiPoint: 1
Kiểm tra N có phải số nguyên tố với N là số nguyên dương nhập từ bàn phím
Nếu là số nguyên tố in ra YES, ngược lại in ra NO
Input:
7
Output:
YES
Input:
8
Output:
NO
In dãy số chia hết cho K trong đoạn [1..N]
Nộp bàiPoint: 1
In dãy số chia hết cho K trong đoạn [1..N] với N là số nguyên dương nhập từ bàn phím
Đầu vào: Nhập vào N và K
Đầu ra: In ra các số chia hết cho K trong đoạn 1..N, mỗi số cách nhau một khoảng trắng
Input:
10 3
Output:
3 6 9
Input:
15 5
Output:
5 10 15
Tổng các số lẻ
Nộp bàiPoint: 1
Cho số nguyên dương n. Hãy tính tổng các số lẻ từ 1 đến n.
Input:
• Một số nguyên dương n (1 ≤ n ≤ 10^6).
Output:
• Một số nguyên là tổng các số lẻ từ 1 đến n.
Ví dụ:
Input
10
Output
25
Bảng cửu chương ngược
Nộp bàiPoint: 1
Cho một số nguyên dương n. Hãy in ra bảng cửu chương của n theo thứ tự ngược từ n x 10 đến n x 1.
Input:
• Một số nguyên dương n (1 ≤ n ≤ 9).
Output:
• 10 dòng, mỗi dòng có dạng " n x i = k " với i chạy từ 10 về 1.
Ví dụ:
Input
3
Output
3 x 10 = 30
3 x 9 = 27
3 x 8 = 24
3 x 7 = 21
3 x 6 = 18
3 x 5 = 15
3 x 4 = 12
3 x 3 = 9
3 x 2 = 6
3 x 1 = 3
Đếm chữ số chẵn
Nộp bàiPoint: 1
Cho một số nguyên dương n. Hãy đếm xem trong n có bao nhiêu chữ số chẵn.
Input:
• Một số nguyên dương n (1 ≤ n ≤ 10^18).
Output:
• Một số nguyên duy nhất: số chữ số chẵn trong n.
Ví dụ:
Input:
203846
Output:
4
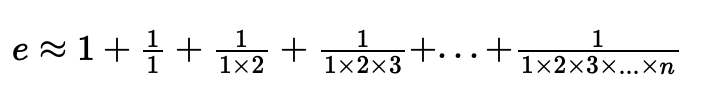
Tính số e
Nộp bàiPoint: 1
Số e cũng như số pi đóng vai trò không thể thiếu trong toán học. Giống như hằng số T, e cũng là một số vô tỉ (không thể biểu diễn thành tỉ số giữa hai số nguyên). Cho số nguyên dương n, hãy tính giá trị xấp xỉ của số e theo công thức sau:

Input: Gồm một số nguyên dương n duy nhất. (n ≤ 10)
Output: In ra kết quả xấp xỉ của e theo n. Kết quả được xét đến chữ số thập phân thứ 3.
Sample Test
Input:
2
Output:
2.500
Cấp số cộng
Nộp bàiPoint: 1
Cho mảng số nguyên A gồm N phần tử là một cấp số cộng. Nhập N và giá trị cho 2 phần tử đầu tiên của mảng từ bàn phím. Dựa vào hai giá trị đầu, hãy tính giá trị cho các phần tử còn lại của mảng.
In ra màn hình dãy số số vừa tạo.
Ràng buộc:
• Giới hạn thời gian: 1 giây
• Giới hạn bộ nhớ: 256 MB
• Dữ liệu vào:
• Một dòng duy nhất chứa 3 số nguyên: N, A[O], A[1].
• 1 ≤ N < 10^5
• -10^9 ≤ A[0], A[1] ≤ 10^9.
Ví dụ:
Input:
5 4 6
Output:
4 6 8 10 12
Stair game
Nộp bàiPoint: 1
Có một cầu thang gồm n bậc, được đánh số 1,2,...,n. Ban đầu mỗi bậc có một số quả bóng nhất định. Hai người chơi đi luân phiên. Ở mỗi nước đi, người chơi chọn một bậc k (với k ≠ 1) và bậc đó có ít nhất một quả bóng. Sau đó người đó có thể di chuyển bất kỳ số quả bóng (ít nhất 1, có thể là tất cả) từ bậc k xuống bậc k-1. Người di chuyển lần cuối cùng sẽ thắng. Hãy xác định ai sẽ thắng nếu cả hai chơi tối ưu.
Lưu ý: nếu không có nước đi nào có thể thực hiện được ngay từ đầu thì người chơi thứ hai thắng.
DỮ LIỆU VÀO:
Dòng đầu tiên chứa một số nguyên t: số lượng test. Mỗi test gồm:
Dòng đầu: số nguyên n — số bậc.
Dòng kế: n số nguyên p1,p2,...,pn: số quả bóng ban đầu ở mỗi bậc.
DỮ LIỆU RA:
Với mỗi test, in "first" nếu người chơi đi trước thắng, và in "second" nếu người chơi đi sau thắng.
Ràng buộc:
Số test t (1 ≤ t ≤ 100).
Mỗi test: Số bậc n (1 ≤ n ≤ 10^5) và số bóng p; (0 ≤ pi ≤ 10^9).
Tổng n trong tất cả các test không vượt quá 2.10^5.
Ví dụ :
Input:
3
3
0 2 1
4
1 1 1 1
2
5 3
Output:
first
second
first